Skumulowany Indeks Wahań (ASI) to wskaźnik analizy technicznej, który pomaga traderom i inwestorom ocenić kierunek trendu, zidentyfikować przebicia poziomów wsparcia i oporu, a także prognozować zmiany cen. Stworzony przez Wellesa Wildera, ASI sumuje dane o wahaniach cenowych, by przedstawić ogólną dynamikę ruchu aktywa. ASI jest szeroko stosowany do potwierdzania sygnałów cenowych i może być przydatny zarówno w handlu krótkoterminowym, jak i długoterminowym.
Ten wskaźnik techniczny pomaga traderom usprawnić strategię, określając punkty wejścia i wyjścia z rynku. Przyjrzyjmy się, jak działa i jakie daje możliwości.
Artykuł obejmuje następujące tematy:
- Kwestie kluczowe
- Czym jest Skumulowany Indeks Wahań (ASI)?
- Do czego wykorzystywany jest Skumulowany Indeks Wahań?
- Jak obliczany jest Skumulowany Indeks Wahań?
- Jak handlować z ASI?
- Jakie strategie istnieją dla ASI?
- Jakie są ograniczenia ASI?
- Jaka jest różnica między indeksem Swing Index (SI) a Skumulowanym Indeksem Wahań (ASI)?
- Podsumowanie
- Najczęściej zadawane pytania dotyczące Skumulowanego Indeksu Wahań
Kwestie kluczowe
- Skumulowany Indeks Wahań (ASI) to wskaźnik analizy technicznej opracowany do oceny trendów.
- Welles Wilder stworzył ASI jako modyfikację wskaźnika Swing Index (SI).
- ASI pomaga traderom identyfikować przebicia linii wsparcia i poziomów oporu.
- Wskaźnik uwzględnia maksimum, minimum, cenę zamknięcia i otwarcia.
- ASI może być używany wraz z innymi wskaźnikami, takimi jak RSI i średnie kroczące.
- Stosowany do analizy zarówno krótkoterminowych, jak i trendów długoterminowych.
- Główny sygnał wskaźnika – potwierdzenie kierunku trendu.
- Wykorzystywany do analizy trendów cenowych i wyznaczania punktów wejścia i wyjścia.
Czym jest Skumulowany Indeks Wahań (ASI)?
Skumulowany Indeks Wahań (ASI) to narzędzie analityczne wykorzystywane w analizie technicznej do badania ruchu notowań i identyfikowania trendów rynkowych. ASI opiera się na udoskonalonej wersji wskaźnika Swing Index (SI), która akumuluje dane z kilku interwałów czasowych, zapewniając dokładniejsze określenie kierunku rynku.
Wskaźnik pomaga traderom i inwestorom lepiej zrozumieć trajektorię ruchu cen, wykrywać przebicia istotnych poziomów oporu i wsparcia, a także oceniać stabilność trendu. Konstrukcja ASI bazuje na cenach otwarcia, zamknięcia, wartościach maksymalnych i minimalnych, a jego graficzne przedstawienie w formie linii sprzyja przejrzystej analizie i prognozowaniu przyszłych zmian.
Dzięki zdolności eliminowania wpływu krótkoterminowych wahań, ASI pozwala skupić się na kluczowych tendencjach rynkowych. To czyni go cennym narzędziem zarówno dla początkujących, jak i doświadczonych inwestorów dążących do głębszego zrozumienia procesów rynkowych.
Do czego wykorzystywany jest Skumulowany Indeks Wahań?
Skumulowany Indeks Wahań (ASI) to uniwersalne narzędzie analizy technicznej, które pomaga określać kluczowe sygnały rynkowe. Jego zastosowanie obejmuje wiele aspektów handlu: od analizy przebić po optymalizację punktów wejścia i wyjścia, co czyni ASI niezastąpionym przy pracy z dowolnymi interwałami i strategiami.
- Określanie trendów rynkowych. Wskaźnik pomaga zidentyfikować kierunek, w jakim podąża rynek, co daje traderom możliwość budowania strategii krótko- i długoterminowych. To szczególnie ważne przy analizie trwałości aktualnych tendencji.
- Analiza przebić. ASI służy do oceny wiarygodności przebicia ważnych poziomów. Dzięki niemu można uniknąć błędów wynikających z fałszywych sygnałów i skupić się na rzeczywistych zmianach.
- Identyfikacja dywergencji. Gdy wartości ASI nie pokrywają się z ruchem ceny, może to wskazywać na możliwą zmianę aktualnego trendu. Na przykład, gdy cena rośnie, a ASI spada, można spodziewać się osłabienia impetu rynkowego.
- Optymalizacja handlu. Wskaźnik wykorzystywany jest do wyszukiwania optymalnych punktów wejścia i wyjścia, co pomaga ograniczyć straty i zwiększyć efektywność transakcji.
- Uniwersalność analizy. ASI nadaje się do badania różnych interwałów czasowych – od krótkich po długoterminowe trendy, co czyni go narzędziem o szerokim zastosowaniu w każdej formie handlu i inwestycji.
- Potwierdzenie sygnałów rynkowych. Wskaźnik jest skutecznie stosowany w połączeniu z innymi narzędziami analitycznymi, takimi jak RSI i średnie kroczące, co zwiększa precyzję sygnałów i zmniejsza ryzyko błędów.
Dzięki tym właściwościom ASI stał się ważnym narzędziem analitycznym dla traderów i inwestorów, którzy dążą do podejmowania świadomych decyzji handlowych, udoskonalania strategii i ograniczania ryzyka.
Jak obliczany jest Skumulowany Indeks Wahań?
Wzór do obliczania ASI:
Gdzie SI (Swing Index) obliczany jest według wzoru:
Tu:
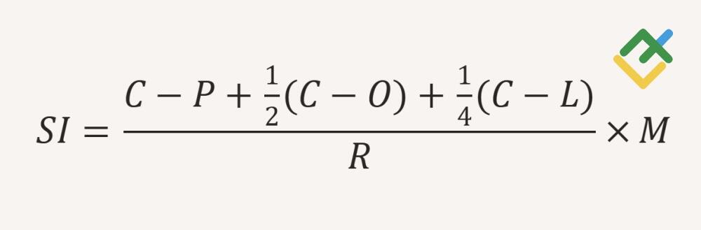
- C – bieżąca cena zamknięcia
- P – poprzednia cena zamknięcia
- R – zakres między maksimum a minimum
- M – zmodyfikowany mnożnik oparty na różnicy cen
- O – cena otwarcia
- L – minimum ceny w danym okresie
Zmodyfikowany mnożnik (M) we wzorze Swing Index (SI) służy do uwzględnienia różnicy cen w zależności od warunków rynkowych. Wzór do obliczania mnożnika M składa się z następujących komponentów:
Gdzie:
- A – to stała lub współczynnik, który jest określany przez użytkownika lub oparty na warunkach rynkowych.
- R1 – różnica między bieżącą ceną zamknięcia (C) a poprzednią ceną zamknięcia (P).
- R2 – zakres między maksimum (H) a minimum (L) w określonym przedziale czasowym.
Jak handlować z ASI?
Zastosowanie wskaźnika Skumulowanego Indeksu Wahań:
- Potwierdzanie trendów. Jeśli linia ASI rośnie, oznacza to trend wzrostowy; spadek ASI sygnalizuje trend spadkowy. Dodatkowo, ASI pozwala ocenić, na ile stabilne są trendy rynkowe, co pomaga unikać fałszywych sygnałów.
- Identyfikacja przebić. Gdy ASI przecina kluczowy poziom lub linię trendu, potwierdza przebicie. Takie przebicie może świadczyć o początku nowego trendu rynkowego lub zmianie obecnego kierunku.
- Dywergencja. Jeśli cena rośnie, a ASI spada, może to wskazywać na potencjalną zmianę trendu. Analiza dywergencji pomaga traderom z wyprzedzeniem określić możliwe punkty zwrotne rynku.
Kluczowy poziom jest ustalany doświadczalnie i może zależeć nie tylko od specyfiki rynku, ale również od charakterystyki danego aktywa.
Przykład zastosowania. Na wykresie 1 pokazano, jak ASI przecina poziom oporu, co sygnalizuje początek nowego trendu. To obrazowo pokazuje, jak wskaźnik może być wykorzystany do identyfikacji kluczowych momentów rynkowych i zwiększania efektywności decyzji handlowych.
Rys. 1: USDJPY – przebicie linii oporu pary walutowej potwierdzone przebiciem linii oporu na ASI.
Jakie strategie istnieją dla ASI?
Istnieje wiele strategii opartych na wykorzystaniu Skumulowanego Indeksu Wahań. Pomagają one skutecznie analizować ruch rynku, znajdować punkty wejścia i wyjścia oraz potwierdzać sygnały innych wskaźników w celu zwiększenia precyzji decyzji handlowych.
ASI i średnia krocząca
Zastosowanie ASI razem z EMA (eksponencjalną średnią kroczącą) pomaga filtrować fałszywe sygnały. Na przykład, jeśli ASI przecina EMA z góry na dół (rys. 2), może to sygnalizować otwarcie pozycji sprzedaży lub realizację zysków. W takim przypadku trader powinien zrozumieć, w jakim kierunku zmierza trend i w którą stronę przebiega korekta względem głównego trendu.
Ogólnie przyjętą definicją trendu jest występowanie rosnących (lub malejących) minimów i maksimów oraz fakt, że impuls cenowy jest zawsze dłuższy niż korekta. Otwarcie pozycji wbrew trendowi może prowadzić do znacznych strat, dlatego trader powinien działać zgodnie z główną tendencją, a nie przeciwko niej.
Rys. 2: Przecięcie ASI z EMA (21) wyprzedziło przebicie linii wsparcia, co potwierdziło „prawdziwość” spadku kursu EURUSD w październiku 2024 roku.
Strategia dywergencji
Kiedy ASI i cena poruszają się w przeciwnych kierunkach, może to sygnalizować możliwe odwrócenie trendu. Należy jednak pamiętać, że dywergencje słabo sprawdzają się wbrew głównemu trendowi. Jeśli na rynku ukształtował się silny trend wzrostowy lub spadkowy, otwarcie pozycji na podstawie sygnału dywergencji w przeciwnym kierunku może przynieść znaczne straty.
Rys. 3: Dywergencja na wykresie akcji Adidas #ADS i wskaźniku ASI podpowiedziała inwestorom, że trend się zakończył.
Metodyka handu z wykorzystaniem ASI i RSI
Wskaźnik ASI w połączeniu z RSI pomaga identyfikować obszary, w których rynek staje się wykupiony lub wyprzedany. Poprawia to jakość decyzji dotyczących punktów wejścia i wyjścia.
Opis wskaźników
- ASI (Skumulowany Indeks Wahań) służy do określania zmian cen i ich potencjalnych odwróceń.
- RSI (Wskaźnik Siły Względnej) odzwierciedla tempo i amplitudę zmian cen. Wartości powyżej 70 wskazują na wykupienie rynku, poniżej 30 – na wyprzedanie.
Etapy stosowania strategii
- Ustawienie wykresu. Dodaj ASI, aby śledzić kluczowe poziomy sygnalizujące możliwe odwrócenia. Ustaw RSI z parametrem 14, aby uzyskać standardowe sygnały wykupienia i wyprzedania.
- Wyszukiwanie sygnałów handlowych. Gdy RSI przekracza poziom 70, a ASI wskazuje na spadek, może to być sygnał do realizacji zysków lub otwarcia krótkiej pozycji. Kiedy RSI spada poniżej 30, a ASI pokazuje sygnał wzrostu, można rozważyć otwarcie pozycji długiej.
- Potwierdzanie sygnałów. Wykorzystuj dodatkowe metody analizy, takie jak formacje świecowe czy inne wskaźniki, aby uniknąć fałszywych sygnałów.
- Zarządzanie ryzykiem. Ustal stop loss powyżej/poniżej najbliższych ekstremów, aby ograniczyć straty. Zastosuj Take Profit na kluczowych poziomach wsparcia i oporu w celu realizacji zysków.
Zalety strategii
- Wysoka precyzja. Połączenie ASI i RSI pozwala z większą pewnością identyfikować istotne obszary rynkowe.
- Szerokie zastosowanie. Nadaje się do różnych instrumentów finansowych i przedziałów czasowych.
- Kontrola ryzyka. Ustawienie zleceń Stop Loss i take profit chroni kapitał i pomaga w realizacji zysków.
Rys. 4: Wskaźniki RSI i ASI wskazały wykupienie i wyprzedanie, co sygnalizowało zakończenie impulsu i rozpoczęcie korekty na rynku LTC.
Jakie są ograniczenia ASI?
Mimo swojej uniwersalności ASI ma pewne ograniczenia, które należy brać pod uwagę przy jego stosowaniu. Zrozumienie słabych stron pomaga unikać fałszywych sygnałów i skuteczniej łączyć ASI z innymi narzędziami analizy technicznej.
- Nie zawsze precyzyjnie identyfikuje fałszywe przebicia. Wskaźnik może generować sygnały, które wyglądają jak potwierdzenie trendu, ale w rzeczywistości są fałszywe. Jest to szczególnie istotne przy niewielkich wahaniach cen.
- Wymaga potwierdzenia innymi wskaźnikami. ASI najlepiej działa w połączeniu z innymi narzędziami, takimi jak średnie kroczące EMA czy RSI, które pomagają doprecyzować sygnały i unikać błędów.
- Może być trudny do zrozumienia dla początkujących traderów. Formuły obliczeniowe i interpretacja sygnałów ASI wymagają doświadczenia i znajomości podstaw analizy technicznej, co czyni go mniej przyjaznym dla nowicjuszy.
- Ograniczona skuteczność w konsolidacji. W warunkach trendu bocznego (konsolidacji) wskaźnik traci dokładność i może generować sprzeczne sygnały.
Jaka jest różnica między indeksem Swing Index (SI) a Skumulowanym Indeksem Wahań (ASI)?
Swing Index (SI) i Skumulowany Indeks Wahań (ASI) to dwa powiązane ze sobą wskaźniki wykorzystywane w analizie technicznej.
- Swing Index (SI). Obliczany jest dla pojedynczego okresu handlowego. Pokazuje siłę i kierunek ruchu ceny w tym czasie, pomagając określić krótkoterminowe wahania.
- Accumulative Swing Index (ASI). Jest to skumulowana wartość SI z kilku okresów, co sprawia, że nadaje się do analizy trendów długoterminowych.
ASI wygładza szumy cenowe i zapewnia klarowny obraz ogólnej dynamiki rynku. Kluczowa różnica: SI przydaje się do oceny krótkoterminowych zmian, natomiast ASI koncentruje się na ogólnym obrazie rynku. Dla dokładniejszego zrozumienia sytuacji rynkowej można stosować oba wskaźniki jednocześnie.
Podsumowanie
Skumulowany Indeks Wahań (ASI) to skuteczne narzędzie analizy technicznej, które łączy precyzję wskaźnika SI przy krótkoterminowych prognozach z możliwością analizy długoterminowych trendów. Dzięki zdolności wygładzania zmian cen ASI pomaga traderom określać kluczowe trendy rynkowe, rozpoznawać przebicia linii wsparcia i oporu, a także znajdować odpowiednie punkty wejścia i wyjścia. Stosowanie wskaźnika w połączeniu z innymi, takimi jak RSI czy średnie kroczące, przyczynia się do zwiększenia dokładności decyzji inwestycyjnych. ASI doskonale nadaje się do analizy zarówno krótkoterminowych, jak i długoterminowych trendów, co czyni go uniwersalnym narzędziem dla traderów o różnych stylach handlu.
Najczęściej zadawane pytania dotyczące Skumulowanego Indeksu Wahań
ASI to wskaźnik, który sumuje dane z kilku przedziałów czasowych. Wygładza zmiany cen, co pomaga identyfikować główne kierunki trendów i analizować ich trwałość.
Wskaźnik został stworzony przez Wellesa Wildera, który po raz pierwszy opisał go w książce „New Concepts in Technical Trading Systems”, opublikowanej w 1978 roku. Wilder jest również autorem innych popularnych narzędzi, takich jak RSI i Parabolic SAR.
ASI pomaga analizować trendy rynkowe, potwierdzać przebicia, identyfikować dywergencje i ulepszać strategie handlowe. Wskaźnik jest także przydatny do określania optymalnych punktów wejścia i wyjścia z rynku.
Podstawą obliczeń ASI jest wskaźnik Swing Index (SI), który uwzględnia takie parametry jak maksimum, minimum, ceny otwarcia i zamknięcia. Wzór ASI zawiera zmodyfikowany mnożnik zależny od aktualnych warunków rynkowych.
Wskaźnik ASI pomaga potwierdzać kierunek trendów, analizować przebicia i identyfikować dywergencje. Linie ASI wykorzystywane są do rozpoznawania kluczowych sygnałów wejścia i wyjścia, co zwiększa precyzję i skuteczność handlu.

Treść tego artykułu stanowi wyłącznie prywatną opinię autora i może nie pokrywać się z oficjalnym stanowiskiem LiteForex. Materiały publikowane na tej stronie mają wyłącznie charakter informacyjny i nie mogą być traktowane jako porada inwestycyjna ani konsultacja w rozumieniu dyrektywy 2014/65/UE.
Zgodnie z przepisami prawa autorskiego artykuł ten jest chronionym obiektem własności intelektualnej, co obejmuje zakaz kopiowania i rozpowszechniania bez zgody.






















































