Analiza fundamentalna na giełdzie uważana jest za złożone narzędzie. Inwestorzy odnoszący największe sukcesy w historii, tacy jak George Soros i Warren Buffett, zarobili pieniądze dzięki analizie fundamentalnej. Ten artykuł jest kompletnym przewodnikiem po analizie fundamentalnej w handlu na rynku Forex. Czytaj dalej, a dowiesz się, jak wykorzystać najlepsze metody i narzędzia analizy fundamentalnej!
Artykuł obejmuje następujące tematy:
- Czym jest analiza fundamentalna?
- Analiza fundamentalna a analiza techniczna: na czym polega różnica?
- Czynniki analizy fundamentalnej
- Analiza fundamentalna z góry na dół i z dołu do góry
- Ilościowa i jakościowa analiza fundamentalna
- Kluczowe wskaźniki efektywności
- Przykłady analizy fundamentalnej
- Najlepsze narzędzia badawcze dla analizy fundamentalnej
- Krytyka analizy fundamentalnej, jej wady i zalety. Wady analizy fundamentalnej.
- Wniosek
- Najczęściej zadawane pytania (FAQ) dotyczące analizy fundamentalnej i technicznej
Czym jest analiza fundamentalna?
Analiza fundamentalna to sposób przewidywania przyszłych cen aktywów w oparciu o zdarzenia i fakty zewnętrzne. Te wydarzenia i fakty są podstawowymi czynnikami gospodarki. Podstawowe czynniki to:
- wskaźniki ekonomiczne, na przykład stopy procentowe banków centralnych, zmiany PKB, stopy inflacji i deflacji, zatrudnienie;
- perspektywy gospodarcze;
- czynniki polityczne;
- wiadomości i pogłoski;
- czynniki sezonowe;
- korelacja branż;
- cykle gospodarcze i inne prawidłowości.
Analiza fundamentalna ma na celu wykrycie maksymalnej liczby istotnych czynników w celu określenia prawdopodobnych cen rynkowych.
Analiza fundamentalna a analiza techniczna: na czym polega różnica?
Podstawowa różnica między analizą fundamentalną a techniczną tkwi w metodach prognozowania. Analiza fundamentalna sugeruje szczegółowe zbadanie stanu finansowo-ekonomicznego zarówno samego przedmiotu badań, jak i otoczenia zewnętrznego. Analiza techniczna oznacza eksplorację tylko wykresu cenowego w celu zidentyfikowania wzorów lub trendów, przy użyciu szerokiej gamy wskaźników technicznych.
Analiza fundamentalna pozwala określić uczciwą cenę aktywów i zrozumieć, w jaki sposób są one niedowartościowane lub przewartościowane w chwili obecnej. Analiza fundamentalna to metoda określania rzeczywistej lub „uczciwej” wartości akcji. Głównym celem narzędzi technicznych jest identyfikacja trendów i wzorów, odpowiednich punktów wejścia i wyjścia z transakcji.
Istnieją również różnice dotyczące ram czasowych. Analiza fundamentalna jest odpowiednia dla inwestycji długoterminowych i handlu fundamentalnego, podczas gdy analiza techniczna koncentruje się na handlu krótko- i średnioterminowym.
Czynniki analizy fundamentalnej
Analiza fundamentalna składa się z trzech kluczowych elementów:
- Analizy ekonomicznej;
- Analizy przemysłu;
- Analizy firmy.
Przestudiujmy każdy z tych elementów bardziej szczegółowo.
Analiza fundamentalna z góry na dół i z dołu do góry
Istnieją dwa główne podejścia do analizy fundamentalnej na rynku Forex:
- Z góry na dół;
- Z dołu do góry.
Przyjrzyjmy się bliżej każdemu z podejść:
Analiza fundamentalna z góry na dół
Jak widać na powyższym obrazku, podejście z góry na dół zaczyna się od analizy gospodarki światowej i gospodarki krajowej. Z reguły badasz takie czynniki, jak PKB, inflacja, stopa procentowa i korelacja kursów walutowych.
Po przeanalizowaniu perspektyw makroekonomicznych badasz interesujące sektory gospodarki i poszczególne branże. Na podstawie badań możesz wybrać najbardziej obiecujące opcje inwestycyjne. Na ostatnim etapie przeprowadzasz analizę fundamentalną akcji poszczególnych spółek.
Podejście z dołu do góry
Jak widać na powyższym obrazku podejście z dołu do góry sugeruje analizowanie danych w odwrotnej kolejności. Oznacza to, że najpierw analizujesz papiery wartościowe firmy, jej sprawozdania finansowe; następnie przemysł i sektor gospodarczy. Na ostatnim etapie badasz czynnik makroekonomiczny w odniesieniu do wybranych firm.
Inwestorzy stosujący to podejście zwykle uważają, że określone papiery wartościowe mogą sprawdzać się lepiej niż cała branża lub sektor gospodarczy. Szczegółowo badają wyniki każdej wybranej firmy, aby inwestować w najbardziej obiecujące aktywa.
Ilościowa i jakościowa analiza fundamentalna
Różne podstawowe czynniki można podzielić na dwie kategorie: ilościowe i jakościowe. Ilościowa analiza fundamentalna polega na badaniu rynku papierów wartościowych na podstawie danych statystycznych, finansowych oraz mierzalnych cech przedsiębiorstwa. Analiza ilościowa jest często stosowana w strategiach handlu algorytmicznego w celu zarządzania ryzykiem i oceny potencjalnego zwrotu z portfolio inwestycyjnych.
Fundamentalna analiza jakościowa bada mniej namacalne dane. Mogą to być relacje polityczne i gospodarcze między krajami, kultura korporacyjna, oczekiwania konsumentów, rozpoznawalność marki, korelacja między różnymi procesami i wzorami. Na przykład trader lubi produkty firmy, takie jak Apple, lub kluczowe produkty firmy takiej jak Tesla.
Kluczowe wskaźniki efektywności
Nie ma ścisłego algorytmu analizy danych ekonomicznych. Potrafię zdefiniować poszczególne wskaźniki fundamentalne, które są kluczowymi wskaźnikami wydajności lub KPI. Niektóre wskaźniki wyników finansowych to:
- Wskaźnik ROE;
- Wskaźnik P/E;
- Współczynnik Beta – Beta (β);
- Zysk za akcję (EPS);
- Stosunek cena/wartość księgowa – (wskaźnik P/B);
- Stosunek PEG;
- Stosunek P/S;
- Wskaźnik wypłaty dywidendy;
- Stopa dywidendy.
Wszystkie te wskaźniki przekazują informacje o niektórych procesach gospodarczych. Porównując te czynniki, inwestor ocenia wyniki firmy lub branży. Tak więc trader zmniejsza ryzyko przeprowadzenia stratnej transakcji.
Zwrot z kapitału (ROE)
Zwrot z kapitału jest jednym z krytycznych elementów analizy fundamentalnej. Decyduje o tym, jak efektywnie firma wykorzystuje kapitał swoich akcjonariuszy. ROE oblicza się dzieląc kapitał własny przez zysk netto spółki według wzoru:
ROE = netto_dochód/Equity * 100%,
gdzie:
- Netto_dochód to zysk netto;
- Equity to kapitał firmy.
Na przykład, jeśli firma zarobiła w tym roku 10 mln euro, a kapitał własny wynosi 100 mln, zwrot z kapitału wyniesie:
ROE = 10,000,000/100,00,000 * 100% = 10%.
Wskaźnik ten jest przydatny przy porównywaniu uczestników z tej samej branży lub dynamiki zmian ROE na przestrzeni kilku lat. Nie ma sensu porównywać firm z różnych sektorów pod kątem tego wskaźnika. Specyfika rynku ma duży wpływ na rentowność firmy.
Stosunek ceny do zysku (wskaźnik P/E)
Inwestorzy stosują stosunek ceny do zysku (P/E) w analizie fundamentalnej do oceny spółek. Określa on, jak bardzo ich akcje są niedowartościowane lub przewartościowane. Aby to obliczyć, musisz podzielić aktualną cenę akcji przez zysk za akcję. Ta ostatnia jest obliczana poprzez podzielenie rocznego zysku przez liczbę wyemitowanych papierów wartościowych.
Wskaźnik P/E obliczany jest według wzoru:
P/E = Cena / EPS,
gdzie:
- Cena jest obecną ceną aktywa;
- EPS to zysk za akcję.
Czasami stosunek ceny do zysku jest opisywany w handlu jako kapitalizacja firmy. Oznacza całkowitą wartość wszystkich papierów wartościowych podzieloną przez zysk netto. Informacje dostarczane przez wskaźnik i łączna wartość lub kapitał własny nie ulegną zmianie.
W praktyce wskaźnik P/E jest często obliczany na podstawie oczekiwanego zysku netto. Dzieje się tak wtedy, gdy analitycy firmy prognozują zysk netto. W tym przypadku rynek weźmie pod uwagę oczekiwany zysk, a wskaźnik P/E zostanie zrewidowany.
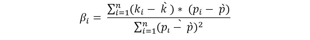
Beta (β)
Współczynnik beta w analizie fundamentalnej mierzy korelację aktywów ze zmianami na całym rynku lub w branży. Pokazuje to, jak cena aktywów zależy od ogólnych tendencji rynkowych. Na przykład akcje można porównać z referencyjnym wskaźnikiem giełdowym, takim jak NASDAQ lub S&P 500.
Wzór na obliczenie współczynnika beta:
gdzie:
- Cov (k, p) – kowariancja zwrotna;
- k_i – zwrot pojedynczej akcji i;
- p – zwrot portfolio.
Dla lepszego zrozumienia przedstawię inny, bardziej złożony wzór:
gdzie:
- k ̀ – oczekiwany (średni) zwrot z akcji;
- p_i – zwrot i-portfolio (zwrot indeksu giełdowego w okresie i)
- p ̀ – oczekiwany (średni) zwrot z portfolio;
- n – liczba obserwacji.
Wartości współczynników:
- Ponad 1. Cena akcji koreluje (porusza się w tym samym kierunku) ze wskaźnikiem giełdowym. Akcje są bardziej wrażliwe (szybciej rosną lub spadają) na zmiany wartości wskaźnika giełdowego.
- Beta akcji wynosi 1. Ruchy cen akcji powtarzają ruch wskaźnika ze 100% dokładnością.
- Od 0 do 1. Poszczególne akcje są skorelowane ze wskaźnikiem giełdowym. Cena akcji jest mniej wrażliwa na wskaźnik giełdowy.
- Beta wynosi 0. Akcje nie korelują ze wskaźnikiem. Oznacza to, że wartość poszczególnych akcji nie zależy od ruchów cen wskaźników giełdowych.
- Od -1 do 0. Cena akcji ma ujemną korelację ze wskaźnikiem giełdowym. Oznacza to, że poszczególne akcje poruszają się w kierunku przeciwnym do wskaźnika giełdowego. Cena akcji jest mniej wrażliwa na średnie ruchy rynkowe niż wskaźnik giełdowy.
- Mniej niż – 1. Akcje mają ujemną korelację ze wskaźnikiem. Zmienność takiego kapitału jest wyższa niż wskaźnika giełdowego.
Zysk za akcję (EPS)
EPS pokazuje rentowność firmy. Oblicza się go dzieląc dochód netto firmy przez całkowitą liczbę wyemitowanych akcji.
EPS = DochódNetto/TCSO,
gdzie:
- DochódNetto –Dochód netto lub dochód netto minus preferowane dywidendy
- TCSO oznacza Łącznie zaległe akcje zwykłe.
W niektórych rodzajach analiz do oszacowania udziałów spółek o złożonej strukturze kapitałowej stosuje się rozwodniony EPS. Różnica w stosunku do zwykłego EPS polega na tym, że zysk netto jest dzielony przez skorygowaną liczbę akcji. Papiery wartościowe takie jak opcje zamienne, warranty, obligacje są odejmowane od liczby bazowej akcji zwykłych.
Stosunek ceny do wartości ksiegowej (wskaźnik P/B)
Wskaźnik ceny do wartości księgowej (wskaźnik P/B) pomaga określić, czy akcje firmy są niedowartościowane w porównaniu z ich wartością rzeczywistą. Wskaźnik P/B porównuje kapitalizację rynkową lub wartość rynkową firmy z jej wartością księgową. Wartość księgowa to wartość sumy aktywów firmy bez sumy zobowiązań.
Wzór P/B:
P/B = Cena/BVR,
gdzie:
- Cena – cena akcji firmy;
- BVR – wartość księgowa.
P/B pokazuje, jaką nieruchomość inwestor nabędzie inwestując w daną firmę hipotetycznego dolara. Znaczenie jest zbliżone do wartości księgowej za akcję.
Stosunek cena-zysk-wzrost (PEG)
PEG jest odmianą omawianego wcześniej wskaźnika P/E. Mnożnik obliczany jest według wzoru:
gdzie:
- P – kapitalizacja;
- E – zysk netto;
- EGR – oczekiwane tempo wzrostu zysków.
Mnożnik uwzględnia oczekiwany przyszły zwrot. Służy do określenia adekwatności ceny, jaką inwestor jest skłonny zapłacić za wzrost dochodów w przyszłości.
Stosunek ceny do sprzedaży (P/S)
Wskaźnik P/S mierzy wolumen sprzedaży. Oblicza się go według wzoru:
P/S = Cena/Sprzedaż_Stosunek,
gdzie:
- Cena – cena akcji;
- Sprzedaż_Stosunek – wolumen sprzedaży.
Wskaźnik P/S pomaga zrozumieć, ile inwestor powinien zapłacić za każdego dolara otrzymanego ze sprzedaży. Charakter tego parametru jest zbliżony do wskaźnika P/E. Uważa się jednak, że jest mniej dokładny, ponieważ nie uwzględnia kosztów operacyjnych. Niemniej jednak wolumen sprzedaży aktualizowany jest częściej i jest łatwiejszy do przewidzenia.
Stopa dywidendy
Wskaźnik wypłaty dywidendy to procent zysków wypłacanych akcjonariuszom w formie dywidendy.
Wzór obliczeniowy wygląda następująco:
DPR = Łączne_Dywidendy/Netto_Zysk,
gdzie:
- Łączne_Dywidendy – wypłacone dywidendy;
- Netto_Zysk – dochód netto.
Korzystając z tego współczynnika możesz określić politykę dywidendową firmy i pośrednio oszacować stopę zwrotu z zabezpieczeń.
Dochód z dywidendy
Stopa dywidendy wyrażona w procentach to wskaźnik finansowy (dywidenda/cena). DY pokazuje, ile firma wypłaca co roku dywidendy w stosunku do ceny akcji. Odwrotnością stopy dywidendy jest stosunek ceny do dywidendy.
Stopa dywidendy obliczana jest według wzoru:
DY = Dywidenda/Cena akcji * 100%
Stopa dywidendy to wygodny sposób mierzenia zysku pieniężnego z każdego zainwestowanego dolara. Lub, mówiąc prościej, zwrot z inwestycji.
Przykłady analizy fundamentalnej
Pozwolę sobie wyjaśnić ocenę kluczowych wskaźników finansowych na przykładzie firmy Microsoft.
W ciągu ostatniego roku wartość akcji MSFT znacznie wzrosła pomimo pandemii i blokad. Jednocześnie w ciągu ostatnich trzech miesięcy cena wahała się w granicach +/- 4%. Chciałbym wiedzieć, jak zmieni się cena akcji Microsoftu w przyszłości.
Korzystam z darmowej usługi simplywall.st i widzę, że wskaźnik P/E mierzący okres zwrotu dla MSFT wynosi 34,1 roku (niebieska strzałka). Jest krótszy niż średni okres zwrotu w branży, 51,4 roku (turkusowa strzałka). Z jednej strony oznacza to, że akcje są potencjalnie niedowartościowane. Z drugiej strony może to sugerować możliwe fundamentalne problemy ograniczające popyt na akcje i obniżające przepływy pieniężne.
Wykres przedstawia również wskaźnik P/E rynku, ale nie ma sensu porównywać z nimi poprzednich danych. Średni rynkowy P/E wskazuje na ogólny stan wykupu całej branży zaawansowanych technologii, a nie konkretnej firmy.
PEG 3,2 to niska wartość. Oznacza to, że wysoka cena rynkowa akcji Microsoftu zwraca się tylko częściowo.
Wartość P/B wynosi 13,1. To ponad sześciokrotnie więcej niż średnia na rynku amerykańskim i 1,5 razy więcej niż średnia w branży. Wysoki P/B oznacza, że akcje Microsoft są przewartościowane.
Zwrot z kapitału własnego (ROE) jest również wysoki i wynosi 38,5%. Średni ROE w branży to 12,6%.
Po zbadaniu kluczowych wskaźników wydajności mogę zasugerować, że akcje Microsoftu są wyceniane wyżej niż rynek. Wysoki ROE i stabilny długoterminowy trend wzrostowy oznaczają, że inwestorzy są optymistyczni i oczekują przyszłego wzrostu akcji spółki. Pod tym względem wskaźnik P/E MSFT jest niższy od średniego wskaźnika przemysłowego.
A zatem akcje są niedowartościowane w porównaniu do konkurentów, a ich rzeczywista wartość może być wyższa. Korzystając z analizy fundamentalnej, mógłbym więc polecić kupno akcji Microsoftu.
Zacznij handlować z zaufanym brokerem
Najlepsze narzędzia badawcze dla analizy fundamentalnej
Trudno jest przeprowadzić analizę fundamentalną na rynku Forex, akcji lub kontraktów terminowych, jeśli ręcznie obliczasz wszystkie wskaźniki. Analitycy techniczni Forexu używają wskaźników wykresów cenowych do przewidywania trendów cenowych EURUSD lub innej pary walutowej. Traderzy giełdowi mogą wykorzystywać przeglądarki, aby zdefiniować najbardziej obiecujące aktywa i dochodowe inwestycje.
Niekoniecznie musisz korzystać z płatnej usługi Simplywall.st. Istnieje wiele darmowych przeglądarek giełdowych. Poniżej przedstawię najlepsze z nich dla akcji:
Finviz
Przeglądarka Finviz jest popularna wśród inwestorów. Ma wiele filtrów, jest łatwa do dostosowania i posiada darmową wersję. Serwis analizuje wyniki tysięcy firm z całego świata, także tych, które nie są znane traderom.
Yahoo! Finance
To kolejne narzędzie, które przyda się w analizie fundamentalnej rynku Forex i giełdy. Yahoo! Finance to dostawca informacji finansowych. Jako dodatek do przeglądarki akcji i analizy fundamentalnej akcji.
Zawiera wiele przydatnych informacji o rynkach finansowych. Znajdziesz tutaj kwotowania walut, rankingi papierów wartościowych, raporty finansowe spółek, informacje prasowe.
Krytyka analizy fundamentalnej, jej wady i zalety. Wady analizy fundamentalnej.
Analiza fundamentalna Forexu pomaga inwestorom zbierać informacje finansowe niezbędne do zrozumienia aktualnych trendów rynkowych i oszacowania potencjalnego wzrostu cen. Analiza fundamentalna jest przydatna do sporządzania długoterminowych prognoz i oceny perspektyw aktywów. W przeciwieństwie do analizy technicznej, analiza fundamentalna nie może być używana do wyszczególniania optymalnych punktów wejścia do otwierania pozycji.
Główną wadą jest brak dokładnych faktów i liczb. Bez względu na to, jakie metody analizy fundamentalnej zastosujesz, jako wynik uzyskasz jedynie ogólne założenia. Z drugiej strony narzędzia analizy technicznej często operują dokładnymi liczbami.
Wniosek
Biorąc pod uwagę zalety i wady analizy fundamentalnej, profesjonalni traderzy często łączą kilka podejść do badania rynków finansowych. Do oszacowania perspektyw wykorzystywane są czynniki fundamentalne. Wskaźniki techniczne służą do określenia dobrych punktów do wejścia i wyjścia z transakcji. Połączona technika zmniejsza ryzyko, ponieważ uwzględnia szerszy zakres czynników.
Najczęściej zadawane pytania (FAQ) dotyczące analizy fundamentalnej i technicznej
Analiza fundamentalna i analiza techniczna to dwie różne metody badania rynku, które należy porównać. Analiza fundamentalna bardziej nadaje się do prognoz długoterminowych opartych na czynnikach ekonomicznych. Metody techniczne pozwalają operować określonymi liczbami i identyfikować dogodne punkty wejścia.
Czynniki fundamentalne służą do przewidywania przyszłych ruchów na rynku. Dane fundamentalne są szeroko wykorzystywane przez traderów i analityków giełdowych. Są również stosowane przez inwestorów, którzy chcą ocenić wyniki finansowe, perspektywy i rentowność firmy.
Tak, niski wskaźnik P/E sugeruje szybki zwrot z inwestycji.
Analiza fundamentalna jest niezbędna w handlu z kilku powodów. Po pierwsze, obejmuje wydarzenia i fakty, które nie są bezpośrednio związane z wykresami cenowymi. Po drugie, podejścia do analizy fundamentalnej umożliwiają sporządzanie prognoz w długoterminowym horyzoncie inwestycyjnym.
Stosunek cena/zysk jest uważany za odpowiedni wtedy, gdy jest niższy niż średni wskaźnik P/E w branży.
Analiza gospodarcza sugeruje badanie ogólnych wskaźników ekonomicznych, takich jak stopy procentowe banku centralnego, stopy PKB, inflację i tak dalej. Wyniki finansowe kraju określają rozwój poszczególnych branż i firm.
Przypomina to analizę fundamentalną akcji. Analizując banki, badasz klasyczne kluczowe wskaźniki wydajności. Poza tym należy również zbadać zadłużenie banku i jakość udzielanych kredytów.
Jeśli analizujesz kryptowalutę, szacujesz zapotrzebowanie na instrument, wielkość sieci kryptowalutowej. Aby znaleźć najlepszą okazję inwestycyjną, należy również zbadać aktywność sieci kryptowalutowych, liczbę użytkowników, obecność na giełdach. Inne ważne parametry to doświadczenie deweloperów i założycieli, unikalne zdolności i trudność kopiowania.
Zgodnie z definicją analizy fundamentalnej na kursy walut mają wpływ procesy polityczne i czynniki ekonomiczne. Ważnymi czynnikami makroekonomicznymi uwzględnionymi w analizie fundamentalnej forexu są PKB, stopa procentowa banku centralnego, stopa inflacji, bilans handlowy i przemysłowy, zatrudnienie.
Analiza fundamentalna opiera się na badaniu kondycji finansowej i ekonomicznej firm, branż i ogólnie gospodarki. Uwzględnia również inne czynniki wpływające na działalność gospodarczą.
Analiza fundamentalna bada następujące aspekty:
- Wyniki gospodarcze kraju i trendy światowe;
- Perspektywy rynków i branż;
- Korelację procesów gospodarczych firmy i jej KPI;
- Produkt, markę, a nawet kulturę korporacyjną.
P.S. Podobał się mój artykuł? Udostępnij go w sieciach społecznościowych, najlepszy sposób na podziękowanie:)

Treść tego artykułu stanowi wyłącznie prywatną opinię autora i może nie pokrywać się z oficjalnym stanowiskiem LiteForex. Materiały publikowane na tej stronie mają wyłącznie charakter informacyjny i nie mogą być traktowane jako porada inwestycyjna ani konsultacja w rozumieniu dyrektywy 2014/65/UE.
Zgodnie z przepisami prawa autorskiego artykuł ten jest chronionym obiektem własności intelektualnej, co obejmuje zakaz kopiowania i rozpowszechniania bez zgody.






















